Ответы
Ответ дал:
0
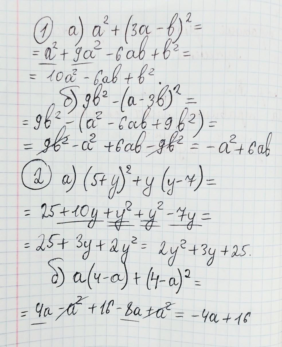
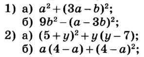
Смотри вложение.......
Приложения:

Ответ дал:
0
Ответ:
Пошаговое объяснение:
Смотри вложение
Приложения:

Ответ дал:
0
Решала честно сама ,хотя можно подумать что списала ,но это не так.
Вас заинтересует
2 года назад
2 года назад
3 года назад
3 года назад
8 лет назад
8 лет назад
9 лет назад