обязательно подробно распишите решение!!!!!!!
Спростіть вираз:
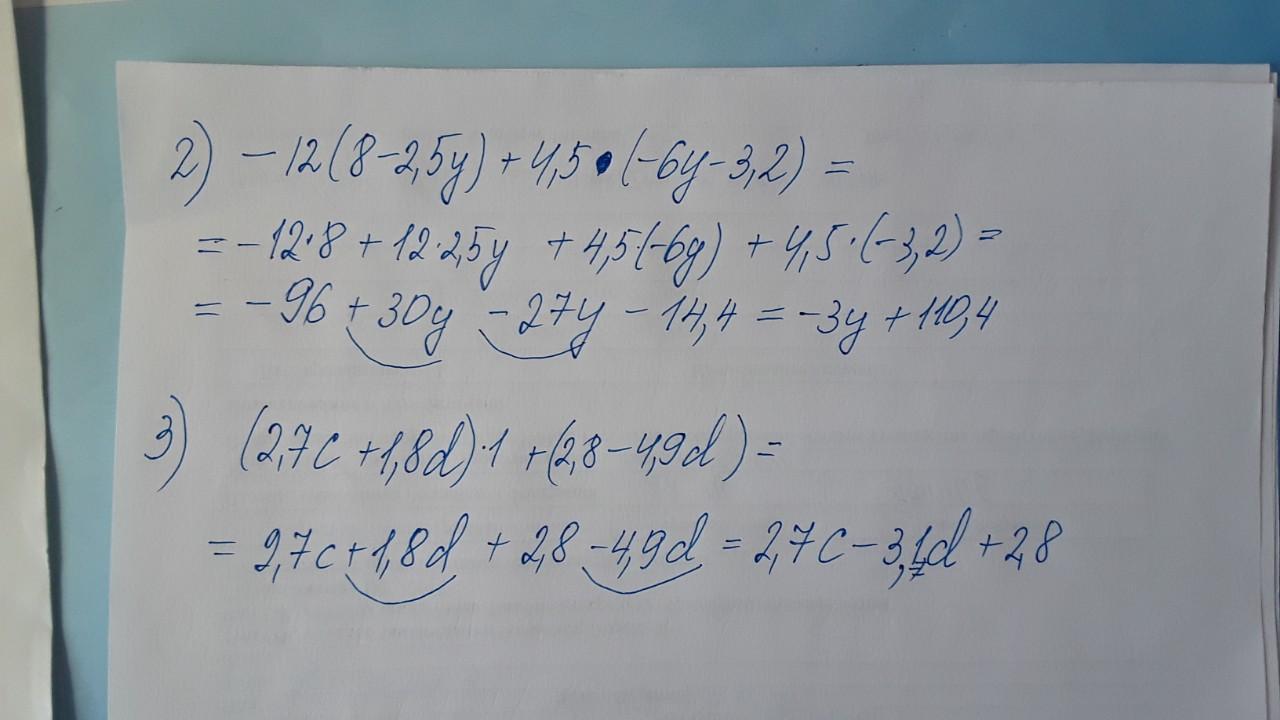
2) —12 (8 - 2,5y) + 4,5 : (-6y - 3,2);
3) (2,7c + 1,8d) 1 + (2,8c - 4,9d)
Ответы
Ответ дал:
0
Ответ:
на фото Надеюсь Что здесь ВОТ ТАК 2) —12 (8 - 2,5y) + 4,5 * (-6y - 3,2);
Пошаговое объяснение:
Приложения:

Вас заинтересует
2 года назад
2 года назад
3 года назад
8 лет назад
8 лет назад
9 лет назад
9 лет назад