• Предмет: Алгебра
  • Автор: emyanet
  • Вопрос задан 8 лет назад

Найдите количество членов геометрической прогресии bn, если b1=−9, q=−2, Sn=−99.

В ответ запишите только число

Ответы

Ответ дал: NNNLLL54
0

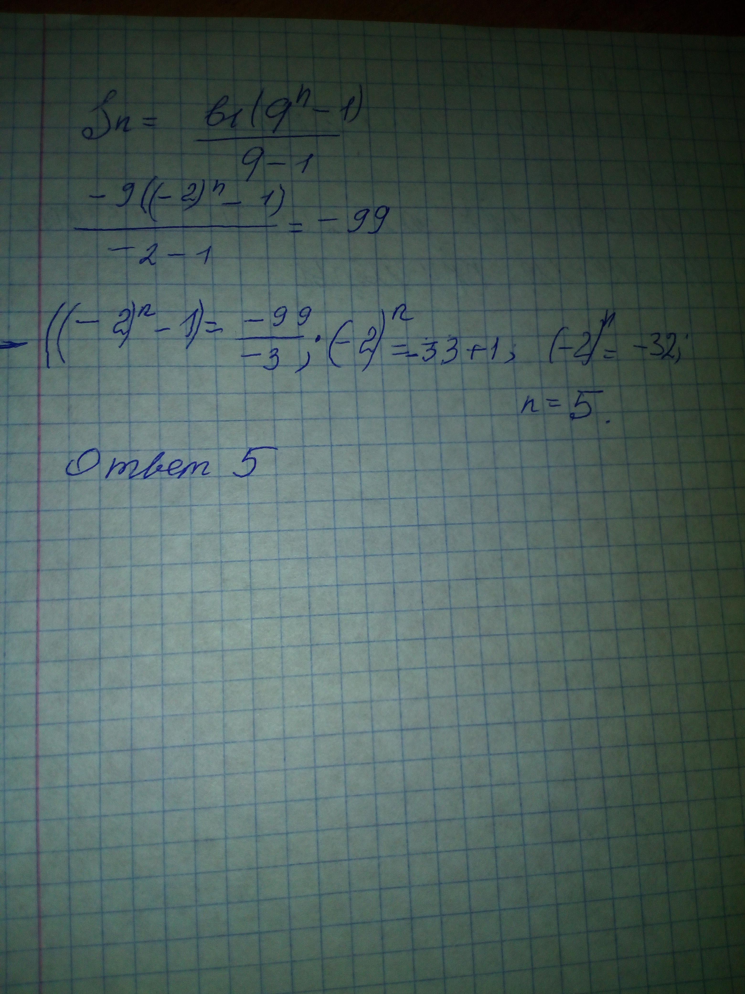
b_1=-9; ; ,; ; q=-2; ; ,; ; S_{n}=-99\\S_{n}=frac{b_1cdot (q^{n}-1)}{q-1}\\S_{n}=frac{-9cdot ((-2)^{n}-1)}{-2-1}=-99\\frac{9cdot ((-2)^{n}-1)}{3}=-99; ; ; ; Rightarrow ; ; ; (-2)^{n}-1=-33; ; ,; ; (-2)^{n}=-32; ,\\(-2)^{n}=-2^5; ; ,; ; (-2)^{n}=(-2)^5\\boxed {n=5; }

Ответ дал: Аноним
0

Ответ: во вложении Объяснение:

Приложения:
Вас заинтересует