• Предмет: Математика
  • Автор: anzhela148
  • Вопрос задан 8 лет назад

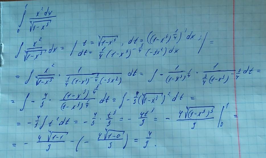
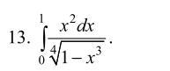
Вычислить несобственный интеграл или установить его расходимость

Приложения:

Ответы

Ответ дал: QDominus
0

Решение приложено...

Приложения:
Вас заинтересует