• Предмет: Алгебра
  • Автор: emyanet
  • Вопрос задан 8 лет назад

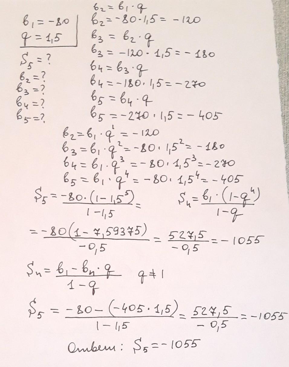
Вычисли первые пять членов геометрической прогрессии, если b1=-80 и q=1,5.
-80;
;
;
;
...

Вычисли сумму первых пяти членов:
S5=
.

Ответы

Ответ дал: sharofat0
0

Ответ:

Вычисли сумму первых 5 членов геометрической прогрессии.

Приложения:
Вас заинтересует