• Предмет: Математика
  • Автор: kotpalinap
  • Вопрос задан 8 лет назад

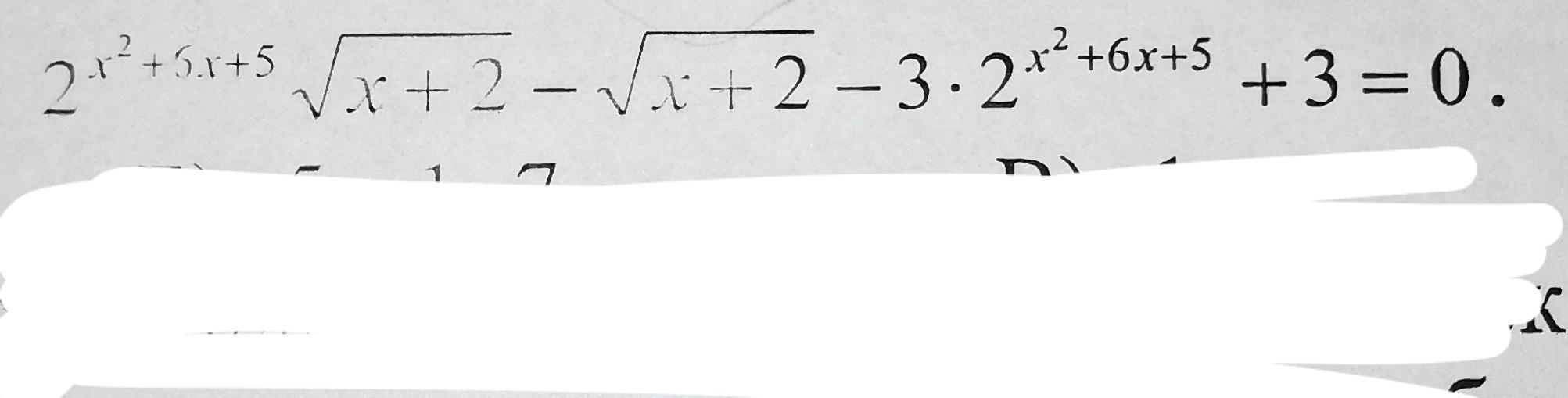
А) - 1; 7
Б)-5; - 1; 7
В) - 1
Г) 7

Приложения:

Ответы

Ответ дал: Алиночка890
0

Ответ уравнения : А) -1; 7

Вас заинтересует