• Предмет: Математика
  • Автор: alexey200331
  • Вопрос задан 8 лет назад

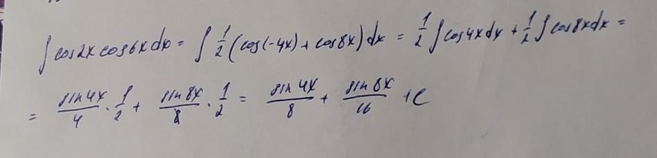
вычислить подробно интеграл

Приложения:

Ответы

Ответ дал: QDominus
0

Решение приложено...

Приложения:
Вас заинтересует