• Предмет: Алгебра
  • Автор: bananabrain57
  • Вопрос задан 8 лет назад

Помогите плиз с алгеброй​

Приложения:

Ответы

Ответ дал: parus77
0

Ответ:

Объяснение:

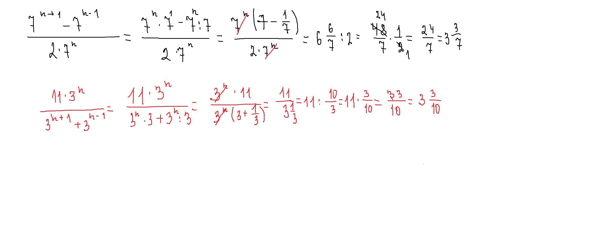
решение внизу

Приложения:
Вас заинтересует