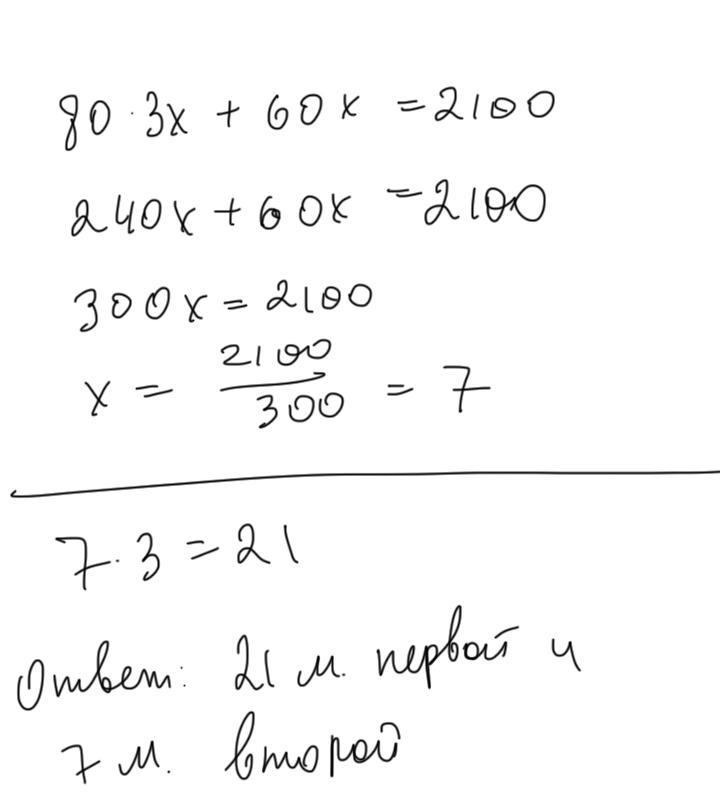
Решите УРАВНЕНИЕ!!! На 2100 сум купили ткани по 80 сум за 1 м и по 60 сум за один метр, причём первой ткани купили втрое больше, чем второй. Сколько метров каждой ткани купили?
Ответы
Ответ дал:
0
Ответ:
Пошаговое объяснение:
Приложения:

Вас заинтересует
2 года назад
2 года назад
3 года назад
8 лет назад
9 лет назад