• Предмет: Алгебра
  • Автор: mbaldina42
  • Вопрос задан 8 лет назад

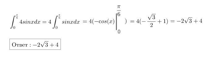
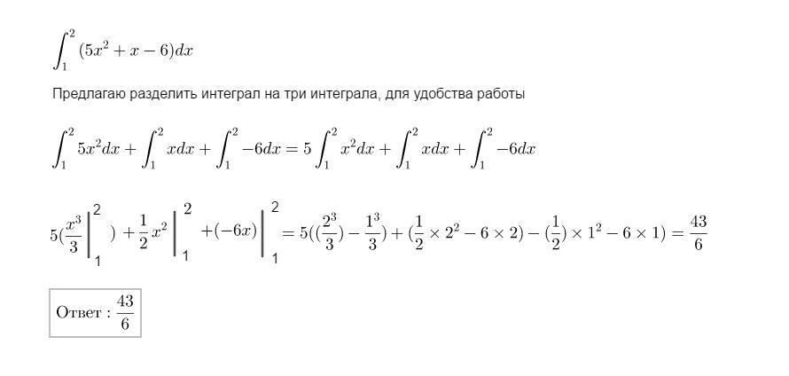
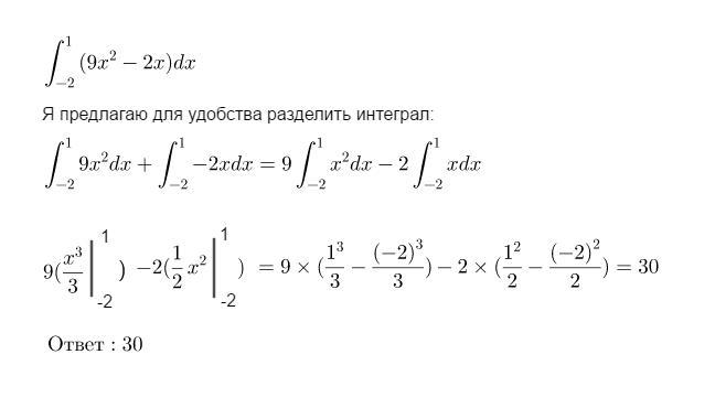
Найдите определенные интегралы

Приложения:

Ответы

Ответ дал: ChiStS
0

Смотри в приложении:

Приложения:
Вас заинтересует