• Предмет: Математика
  • Автор: ilya2ismagilov
  • Вопрос задан 8 лет назад

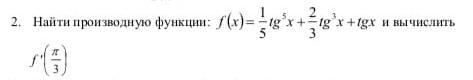
Решиет задание из высш.математики

Приложения:

Ответы

Ответ дал: Miroslava227
0

Ответ:

решение на фотографии

Приложения:
Вас заинтересует