• Предмет: Математика
  • Автор: grickevichsofia
  • Вопрос задан 8 лет назад

решите чтонибудь желательно все❤️​

Приложения:

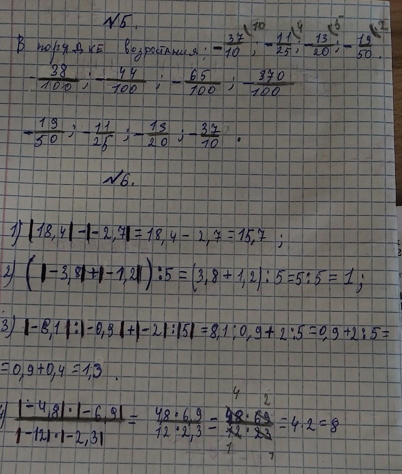
Ответы

Ответ дал: alexei152007
0

Ответ:

3.  1)4 3/7=4 3/7   2)-0,6=0,6  3)-12,5=12,5  

4.  1)-1,7<0,3   2)-4/9<-11/27   3)2,1<3,2

5.  -37/10   -13/20   -11/25   -38/50

6.   1)  |18,4|-|-2,7|=15,7    2)  (|-3,8|+|-1,2|)/5=5/5=1

     3)  |-8,1|/|-0,9|+|-2|/|5|=9,4

вот всё решил кроме 2

Ответ дал: maksimrenzit
0

Пошаговое объяснение:

Вооолоооооооооооооооот

Приложения:
Вас заинтересует