Ответы
Ответ дал:
0
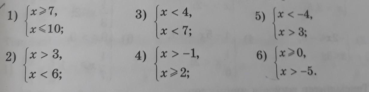
Решение на фото
_______________
Приложения:

Ответ дал:
0
Ответ в фотографии )))
Приложения:

Вас заинтересует
2 года назад
2 года назад
3 года назад
3 года назад
8 лет назад
9 лет назад