• Предмет: Математика
  • Автор: 312Anna123
  • Вопрос задан 8 лет назад

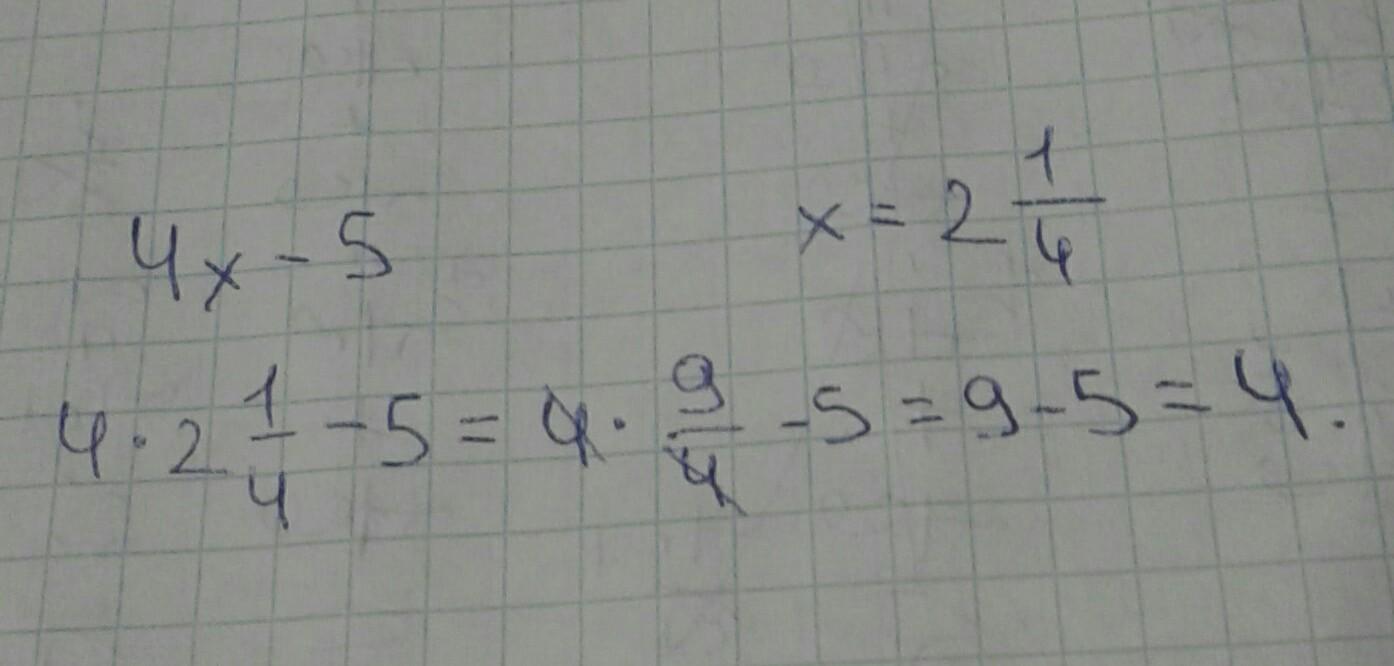
4х-5 при х=2 1/4 помогите пожалуйста

Ответы

Ответ дал: nastya0840
0

Ответ:

4

Пошаговое объяснение:

4* 2 1/4 - 5=(4*9)/4-5=9-5=4

Т.к 2 1/4=9/4

Ответ дал: gulimgan75
0

Ответ:

Получается 4

Удачи!!!

Приложения:
Вас заинтересует