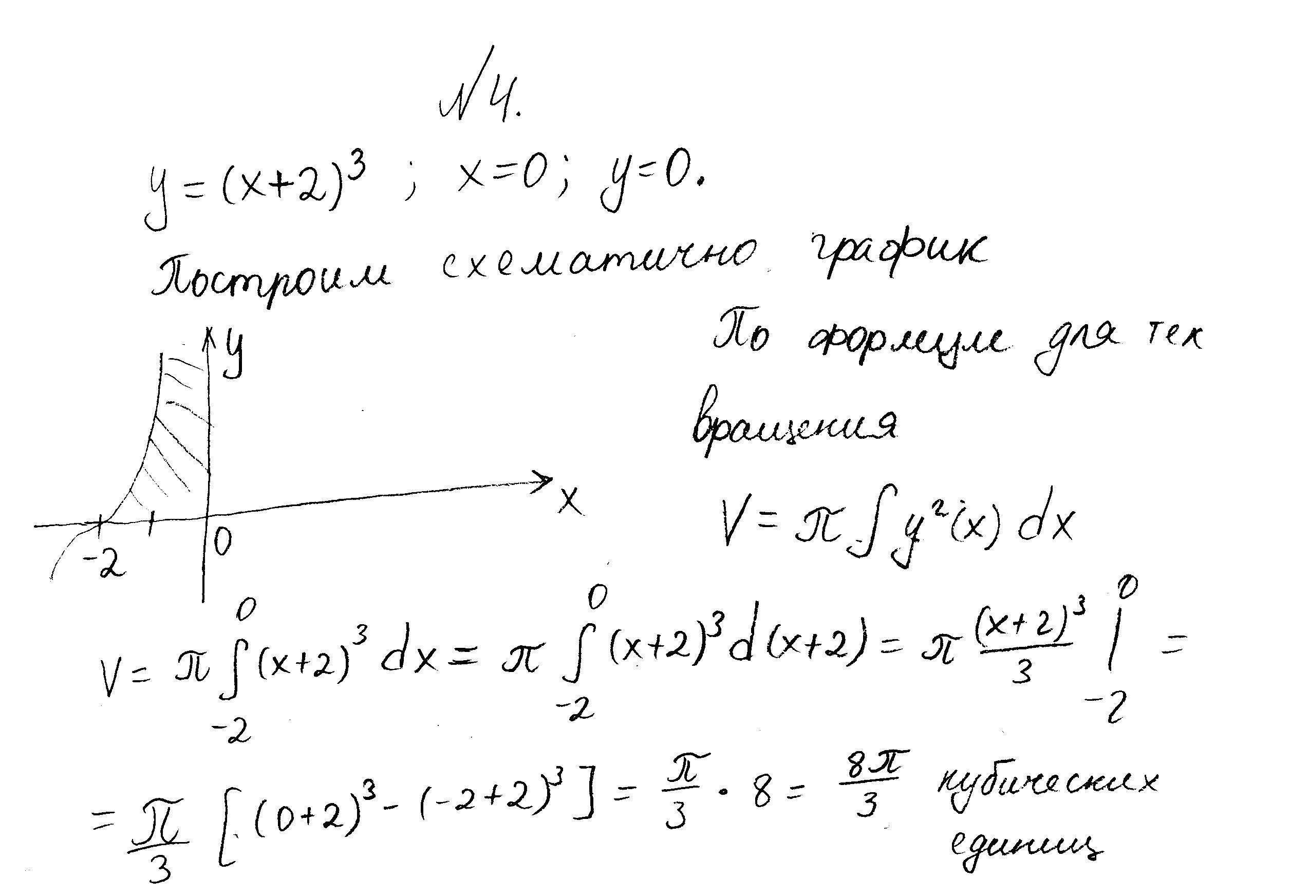
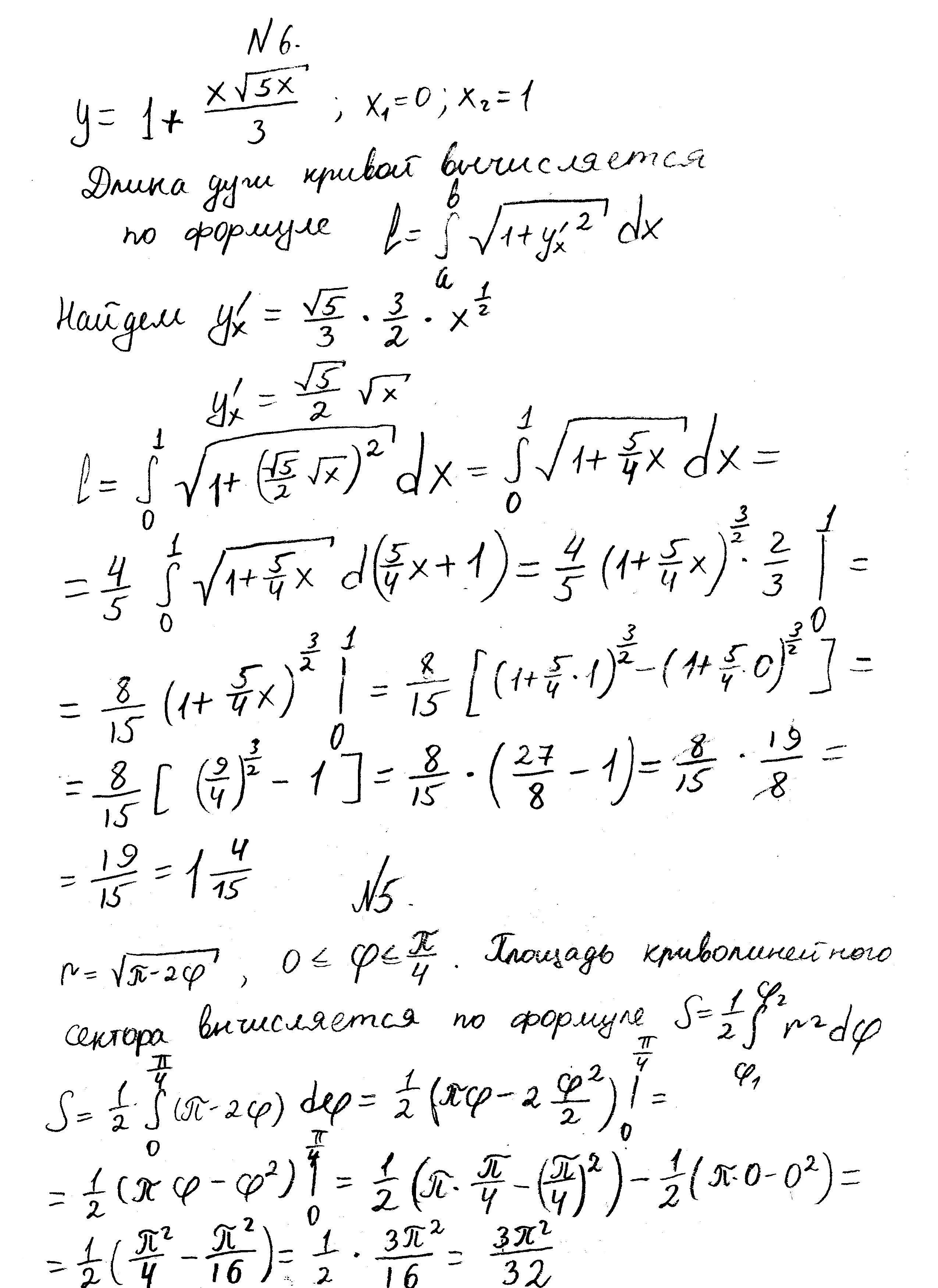
4- Вычислить площадь фигуры ограниченной данными линиями 5- Вычислить площадь криволинейного сектора 6 - Вычислить длину дуги кривой 7- Вычислить объем тела образованного вращением фигуры ограниченной данными линиями вокруг оси Ох и Оу
Приложения:

Ответы
Ответ дал:
0
Ответ:
№4 кубических единиц
№5 квадратных единиц
№6 единиц
№7 Вращение вокруг оси ОУ
V=66π кубических единиц
Вращение вокруг оси ОX
кубических единиц
Объяснение:
в приложении
Приложения:



Вас заинтересует
2 года назад
3 года назад
3 года назад
8 лет назад
9 лет назад
9 лет назад