Ответы
Ответ дал:
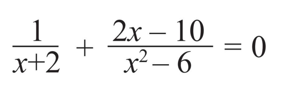
0
Ответ:
Посмотрите на фотографии
Объяснение:
Приложения:




Вас заинтересует
2 года назад
2 года назад
3 года назад
3 года назад
8 лет назад
9 лет назад