• Предмет: Алгебра
  • Автор: emma0088
  • Вопрос задан 8 лет назад

Помогите решить пожалуйста 1,3,4

Приложения:

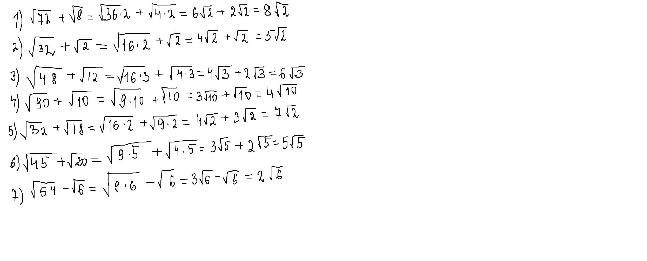
Ответы

Ответ дал: parus77
0

Ответ:

Объяснение:

все решения внизу

Приложения:
Вас заинтересует