• Предмет: Алгебра
  • Автор: Nasssaaa
  • Вопрос задан 8 лет назад

Ребятки , помогите пожалуйста

Приложения:

Ответы

Ответ дал: L0sK
0

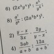
#6.

(2x^3y^4)^3 : frac{x^5}{y^6} =  frac{8x^9y^{12} * y^6}{x^5}  = 8x^4y^18

#8.

frac{a^7}{b^6} : (2a^3b^4)^2 = frac{a^7}{b^6 * 4a^6b^8} = frac{a}{4b^{14}}

#2.

frac{y-x}{3x} * frac{2y}{y-x} = frac{(y-x)2y}{3x(y-x)} = frac{2y}{3x}

#4.

frac{3ab}{a+b} : frac{12a}{a+b} = frac{3ab(a+b)}{(a+b)12a} = frac{b}{4}

Вас заинтересует