• Предмет: Алгебра
  • Автор: potirus12
  • Вопрос задан 8 лет назад

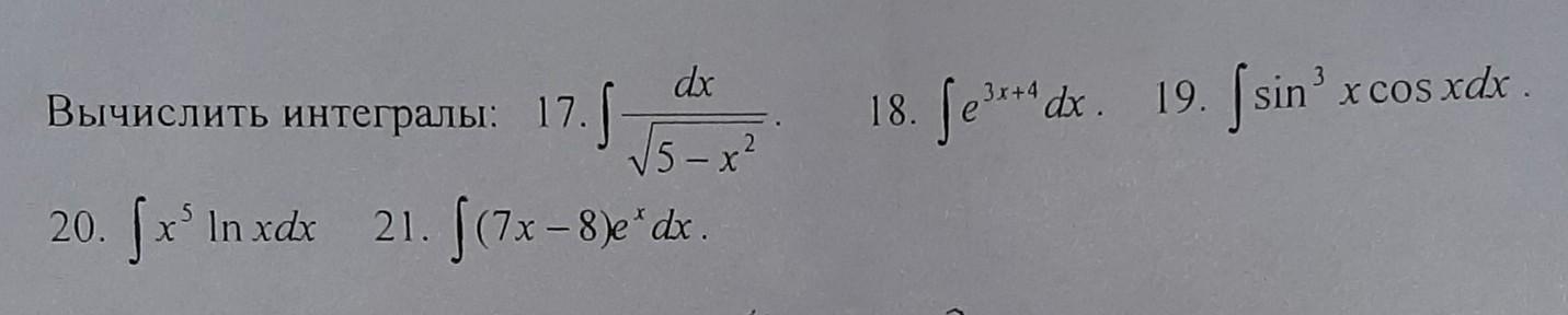
Вычислите, пожалуйста, интегралы

Приложения:

Ответы

Ответ дал: NNNLLL54
0

1); ; int frac{dx}{sqrt{5-x^2}}=arcsinfrac{x}{sqrt5}+C; ;\\\2); ; int e^{3x+4}, dx=frac{1}{3}e^{3x+4}+C; ;\\\3); ; int sin^3xcdot cosx, dx=int sin^3xcdot d(sinx)=frac{sin^4x}{4}+C; ;

4); ; int x^5cdot lnx, dx=Big [u=lnx,; du=frac{dx}{x}; ,; dv=x^5, dx; ,; v=frac{x^6}{6}; Big]=\\=frac{x^6}{6}cdot lnx-frac{1}{6}int x^5, dx=frac{x^6}{6}cdot lnx-frac{1}{6}cdot frac{x^6}{6}+C=frac{x^6}{6}cdot (lnx-frac{1}{6})+C; ;

5); ; int (7x-8)cdot e^{x}, dx=Big[; u=7x-8; ,; du=7, dx; ,; dv=e^{x}, dx; ,; v=e^{x}; Big]=\\=(7x-8)cdot e^{x}-7int e^{x}, dx=(7x-8)cdot e^{x}-7, e^{x}+C=e^{x}cdot (7x-15)+C; .

Ответ дал: NNNLLL54
0
первые два интеграла вообще табличные,остальные по правилам интегрирования....
Вас заинтересует