• Предмет: Алгебра
  • Автор: gggooggg1337
  • Вопрос задан 8 лет назад

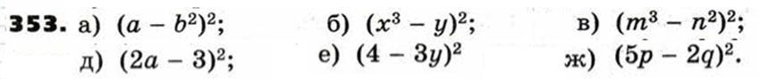
Запишите выражение в виде трехчлена, пользуясь нужной формулой, 35 баллов

Приложения:

Ответы

Ответ дал: sangers1959
0

Ответ:

Объяснение:

a) (a-b²)²=a²-2ab²+b⁴

б) (x³-y)²=x⁶-2x³y+y²

в) (m³-n²)²=m⁶-2m³n²+n⁴

д) (2a-3)²=4a²-12a+9

е) (4-3y)²=16-24y+9y²

ж) (5p-2q)²=25p²-20pq+4q².

Ответ дал: gggooggg1337
0
спасибо! лучший
Ответ дал: matilda17562
0

Решение:

a) (a - b²)² = a² - 2ab² + (b²)² = a² - 2ab² + b⁴;

б) (x³ - y)² =(x³)² - 2x³y + y² = x⁶ - 2x³y + y²;

в) (m³ - n²)² = (m³)² - 2m³n² + (n²)² = m⁶ - 2m³n² + n⁴;

г) отсутствует(?)

д) (2a - 3)² = (2a)² - 2•2a•3 + 3² = 4a² - 12a + 9;

е) (4 - 3y)² = 4² - 2•4•3у + (3у)² = 16 - 24y + 9y²;

ж) (5p - 2q)² = (5р)² - 2•5р•2q + (2q)² = 25p² - 20pq + 4q² .

Вас заинтересует