• Предмет: Алгебра
  • Автор: alinura773
  • Вопрос задан 8 лет назад

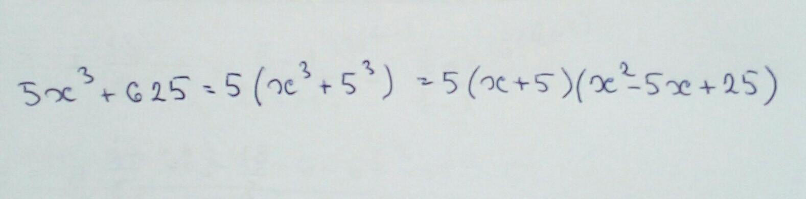
разложите на мноножители 5х^3+625 ​

Ответы

Ответ дал: ЯгодкаЯлесная
0

Ответ:

фоточка тебе в помощь ;)

Приложения:
Ответ дал: reginakot
0

Объяснение:

5(x^{3}+125)

x^{3}+5^{3}

5(x+5)×(x^{2}-5x+25)

Приложения:
Вас заинтересует