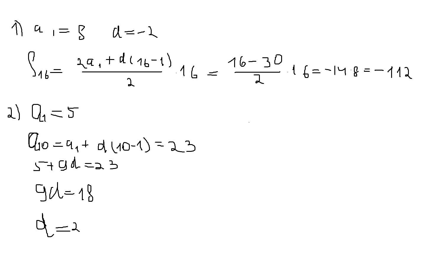
1)Найдите сумму шестнадцати первых членов арифметической прогрессии (Bn):8;4... 2)В арифметической прогрессии (Cn):с10=23 с1=5 Найдите разность этой прогрессии
Ответы
Ответ дал:
0
Ответ:
Объяснение:
вот и все
Приложения:

Вас заинтересует
2 года назад
2 года назад
3 года назад
8 лет назад
8 лет назад