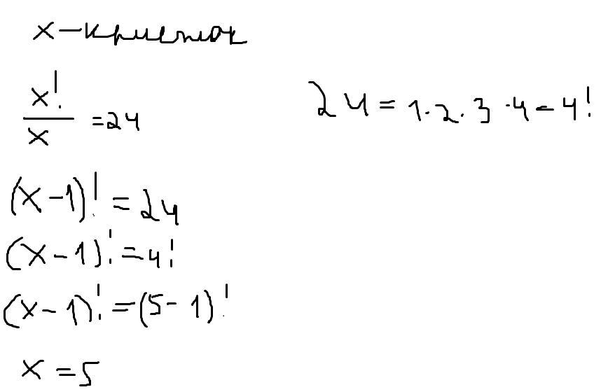
Відомо що кількість способів, якими можна розмістити на полиці декілька книжок у 24 рази більша за саму кількість книжок. Скільки книжок на полиці?
Ответы
Ответ дал:
0
Ответ:
Объяснение:
вот и все
Приложения:
Вас заинтересует
2 года назад
2 года назад
3 года назад
3 года назад
9 лет назад
9 лет назад
10 лет назад