• Предмет: Физика
  • Автор: fndndj
  • Вопрос задан 8 лет назад

Помогите физика 8 класс.!.!. Срочнооо ребята всем скажу спасибо

Приложения:

Ответы

Ответ дал: ssroman72
0

Ответ:

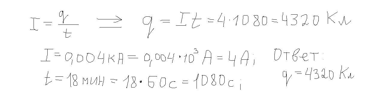
ответ и решение на картинке

Объяснение:

Приложения:
Вас заинтересует