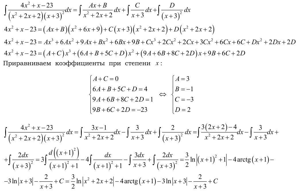
Найти неопределённый интеграл . Надо чтобы был процесс разложения подынтегральной функции на сумму простейших дробей. ПОМОГИТЕ ПОЖАЛУЙСТА!!!
Приложения:

Ответы
Ответ дал:
0
Ответ:
Решение представлено на картинке
Пошаговое объяснение:
Приложения:

Вас заинтересует
2 года назад
2 года назад
3 года назад
3 года назад
8 лет назад
8 лет назад
9 лет назад