• Предмет: Физика
  • Автор: liteen
  • Вопрос задан 8 лет назад

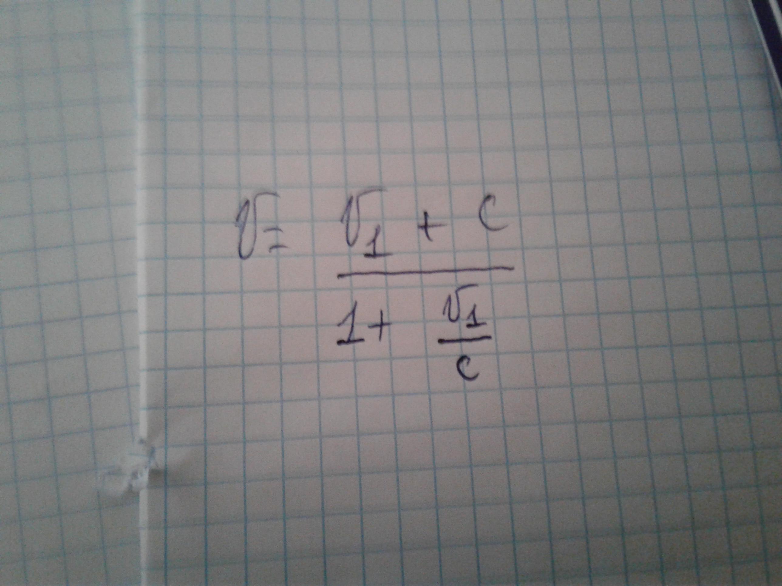
Сделайте преобразование формулы (сократите её).

Приложения:

Ответы

Ответ дал: gregysize
0

Ответ:

Объяснение:

v = dfrac{v_1 + c}{1 + dfrac{v_1}{c}} =  dfrac{c* (v_1 + c)}{c* (1 + dfrac{v_1}{c})}  =  dfrac{c* (v_1 + c)}{c + v_1} = c

Вас заинтересует