Ответы
Ответ дал:
0
Ответ:
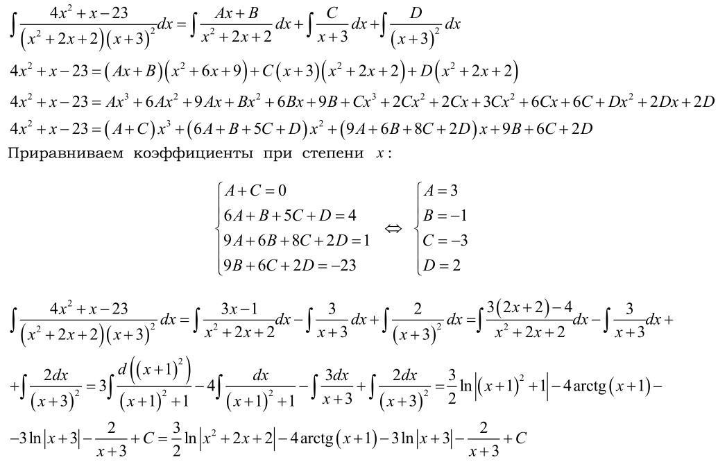
Решение представлено на картинке
Пошаговое объяснение:
Приложения:

Ответ дал:
0
СПАСИБО ОГРОМНОЕ!!!!
Вас заинтересует
2 года назад
3 года назад
3 года назад
8 лет назад
8 лет назад
9 лет назад