Ответы
Ответ дал:
0
Ответ:
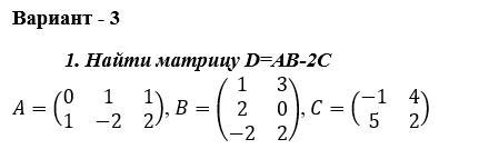
D = l-2 -6l
l-17 3l
Приложения:

Вас заинтересует
2 года назад
3 года назад
3 года назад
8 лет назад