• Предмет: Математика
  • Автор: 123456789103984
  • Вопрос задан 8 лет назад

Решить уравнение ||3х+2|-4|=6​

Ответы

Ответ дал: magmathMerry
0

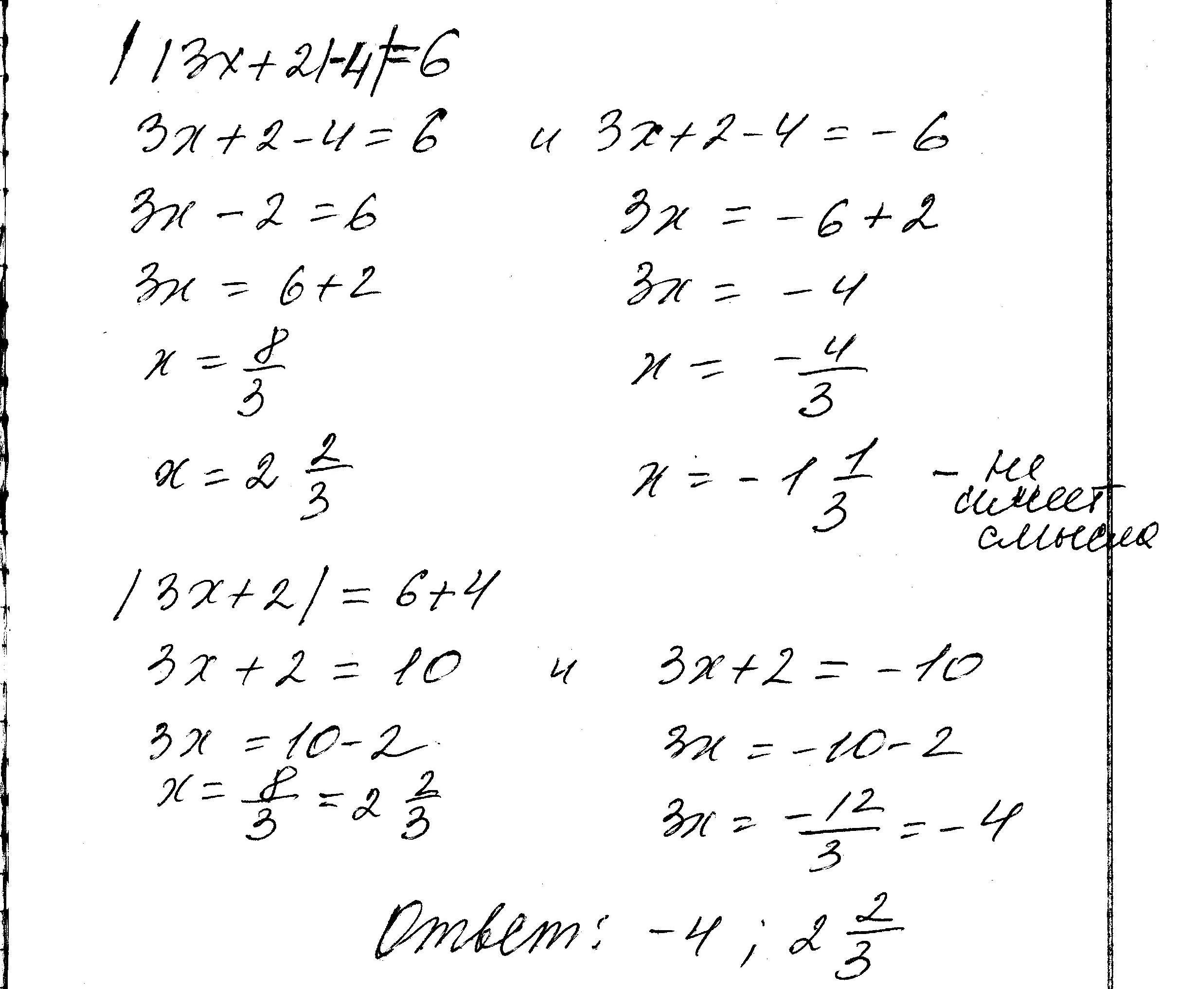
Ответ:

прикрепила смотри скрепку

Пошаговое объяснение:

Приложения:
Ответ дал: IrkaShevko
0

Ответ:

-4 и 2 целых 2/3

Пошаговое объяснение:

1) |3x + 2| - 4 = -6

|3x + 2| = -2

нет решений, т.к. модуль не может быть отрицательным

2) |3x + 2| - 4 = 6

|3x + 2| = 10

2a) 3x + 2 = -10

3x = -12

x = -4

2b) 3x + 2 = 10

3x = 8

x = 2 2/3

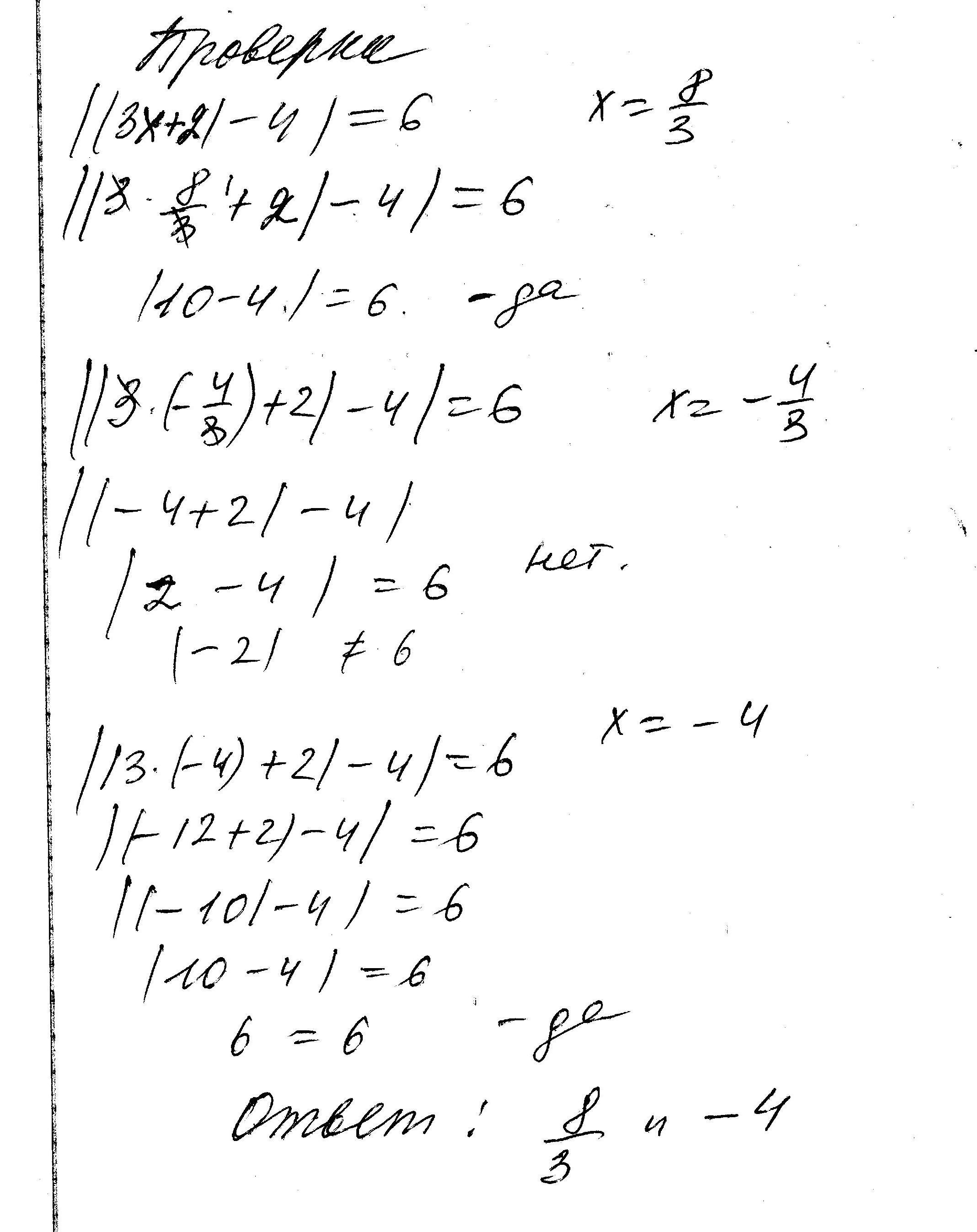
Приложения:
Вас заинтересует