• Предмет: Математика
  • Автор: Gulnurgumi
  • Вопрос задан 8 лет назад

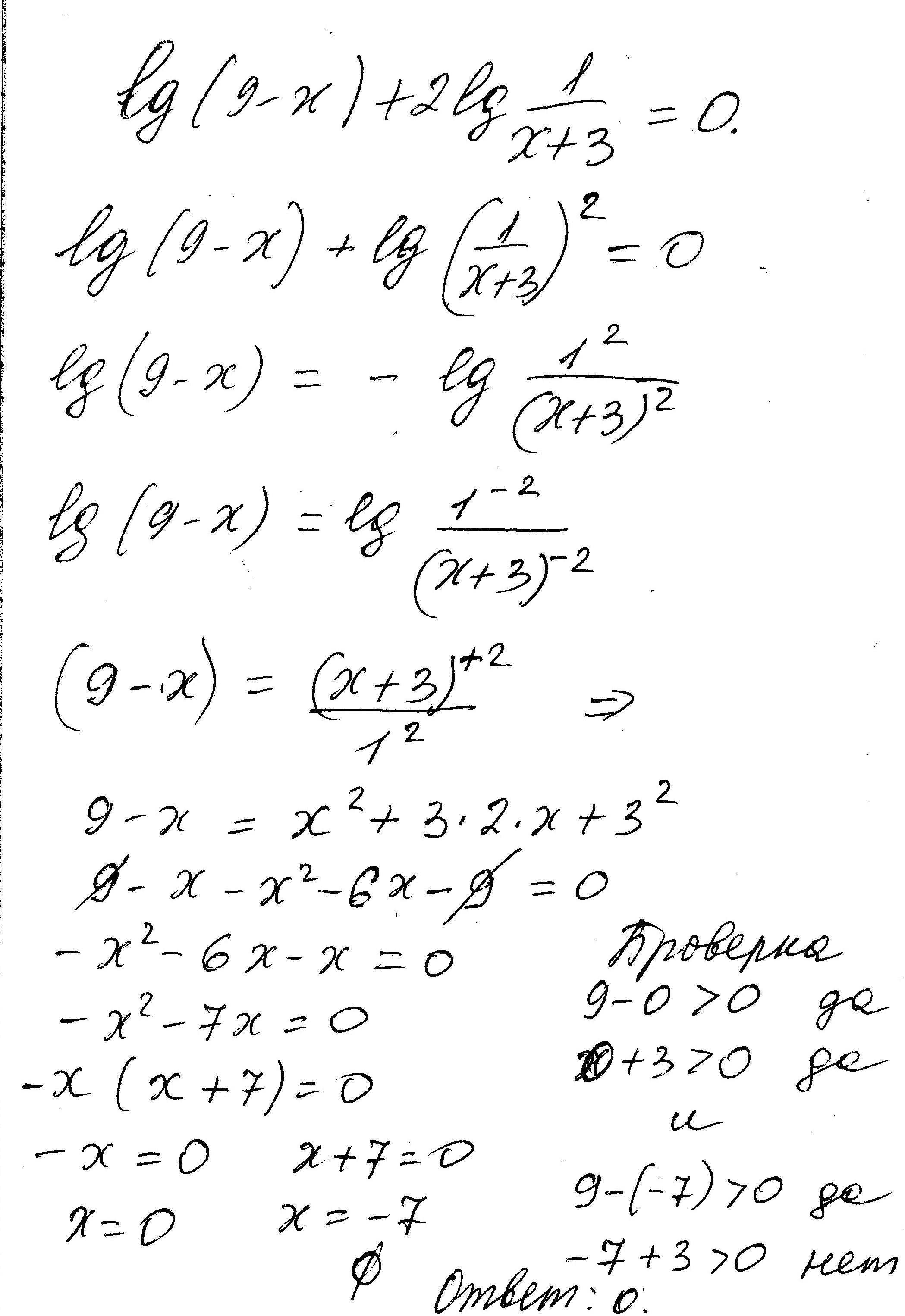
Пожалуйста очень надо(( Не могу решить уже как час! 47 баллов

Приложения:

Ответы

Ответ дал: magmathMerry
0

Ответ:

смотри скрепку, если не понятно то отвечу завтра

Пошаговое объяснение:

Приложения:
Вас заинтересует