• Предмет: Алгебра
  • Автор: egorantv
  • Вопрос задан 8 лет назад

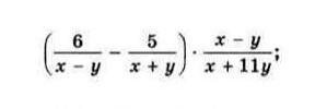
Решите пример:
Решите

Приложения:

Ответы

Ответ дал: HahahaLel
0

Объяснение:

1/(x+y)

ответ  

Приложения:
Ответ дал: egorantv
0
А решение?
Ответ дал: HahahaLel
0
решение на фото, и еще: скачайте фотомэс или вольфрамальфа и не ставьте необдуманно плохую оценку
Вас заинтересует