• Предмет: Математика
  • Автор: arminep97
  • Вопрос задан 8 лет назад

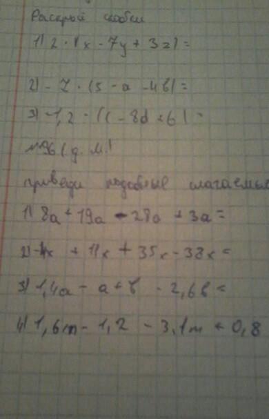
помогите пожалуйста ! ​

Приложения:

Ответы

Ответ дал: gm8studio
0
Вот, надеюсь некоторые буквы и цифри правильно поняла
Приложения:
Вас заинтересует