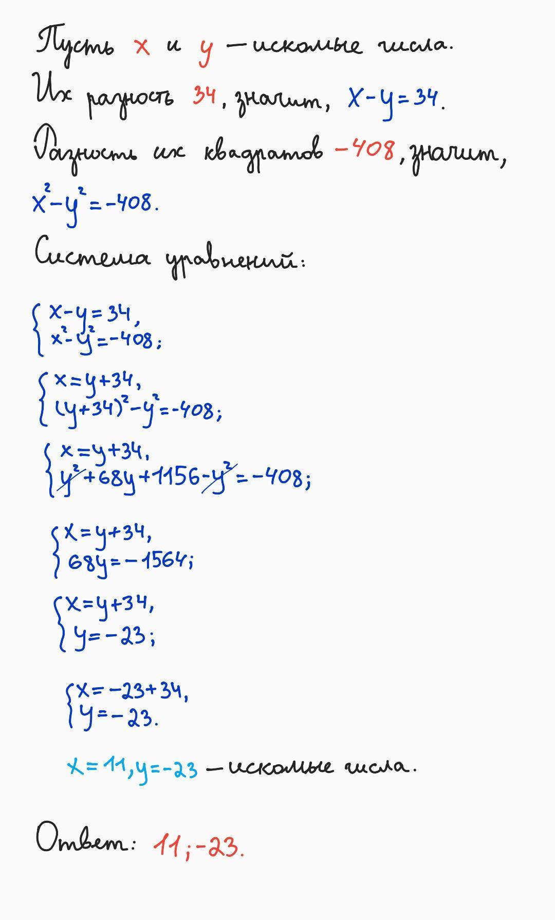
решите задачу с помощью составление уравнивания. Разность двух чисел равна 34, а разность их квадратов -408. Найдите эти числа.
Ответы
Ответ дал:
0
~~~~~~~~~~~~~~~~~~~~~~
Приложения:

Вас заинтересует
2 года назад
3 года назад
3 года назад
8 лет назад
8 лет назад