• Предмет: Алгебра
  • Автор: ananam885
  • Вопрос задан 8 лет назад

f(x) = (4x + 3) ^{6}   \  x0 =-1
f(x) = 2 - 2 cos(x)  \ x0 =  frac{pi}{6}
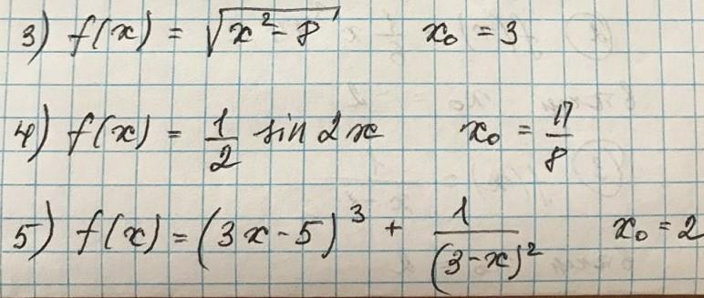
f(x) = sqrt{x^{2} - 8 } \ x0 = 3

Приложения:

Ответы

Ответ дал: LordTutus
0

1)

f'(x) = 24(4x+3)^5

f'(x_0) = 24(-4+3)^5=-24

2)

f'(x)=-2(-sin x)=2sin x

f'(x_0)=2sin frac{pi}{6} =1

3)

f'(x) = frac{1}{2sqrt{x^2-8}}2x = frac{x}{sqrt{x^2-8}}

f'(x_0) = frac{3}{sqrt{3^2-8}}=3

4)

f'(x)=frac{1}{2}2cos 2x = cos 2x

f'(x_0) = cos 2frac{pi}{8}  cos frac{pi}{4} =frac{sqrt{2}}{2}

5)

f'(x) = 9(3x-5)^2-frac{2(-1)}{(3-x)^3} =  9(3x-5)^2+frac{2}{(3-x)^3}

f'(x_0) =  9(6-5)^2+frac{2}{(3-2)^3} =9 +2=11

Вас заинтересует