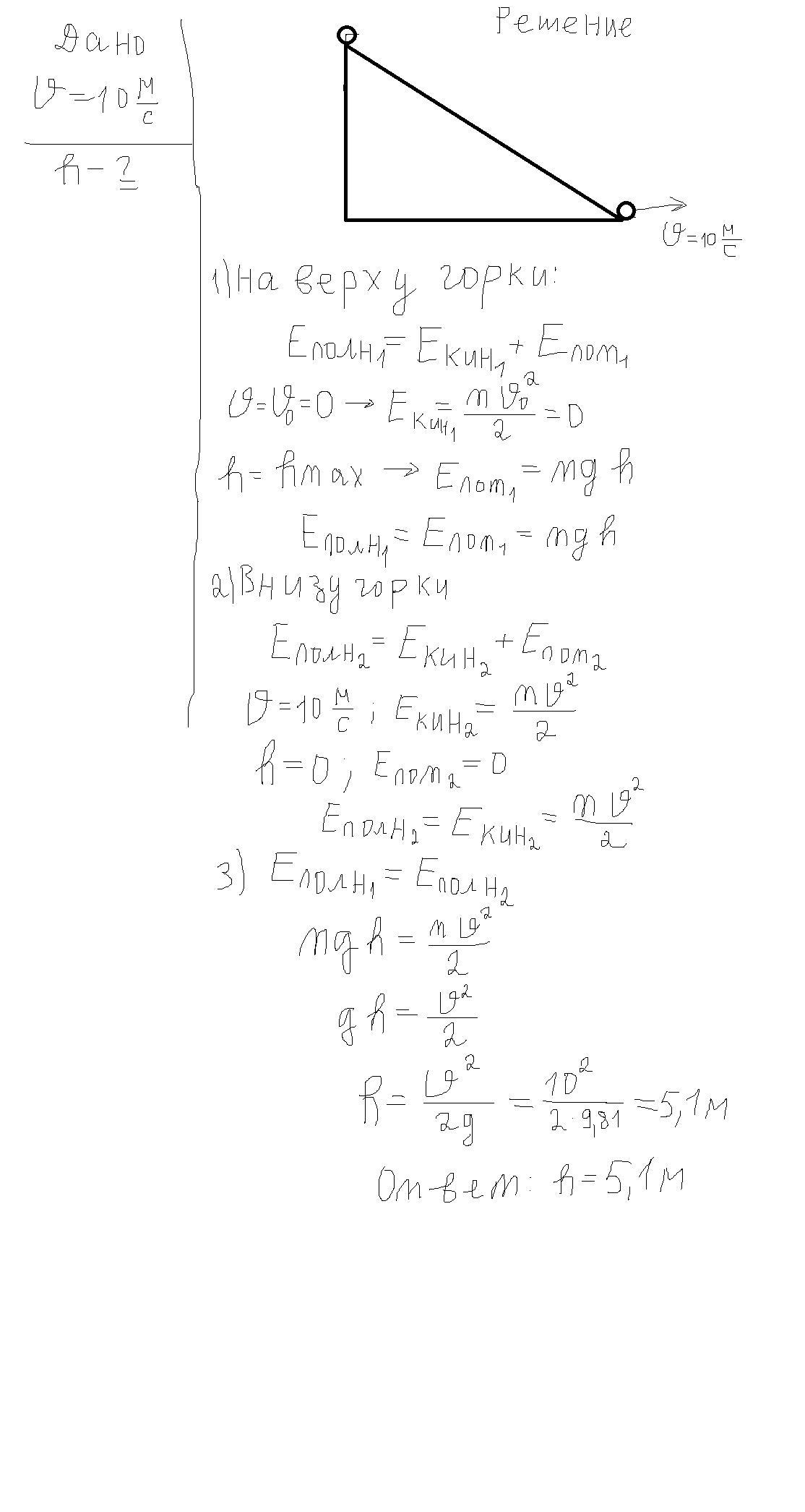
Шарик скатывается с горки без трения. В конце пути шарик имеет скорость 10 м/с. С какой высоты скатывался шарик.
Ответы
Ответ дал:
0
Ответ:
решение на картинке
Объяснение:
Приложения:
Вас заинтересует
2 года назад
2 года назад
3 года назад
3 года назад
9 лет назад
9 лет назад
10 лет назад
10 лет назад