• Предмет: Алгебра
  • Автор: 00Smith
  • Вопрос задан 8 лет назад

Алгебра 10 класс
25 баллов

Приложения:

Ответы

Ответ дал: matematikL
0

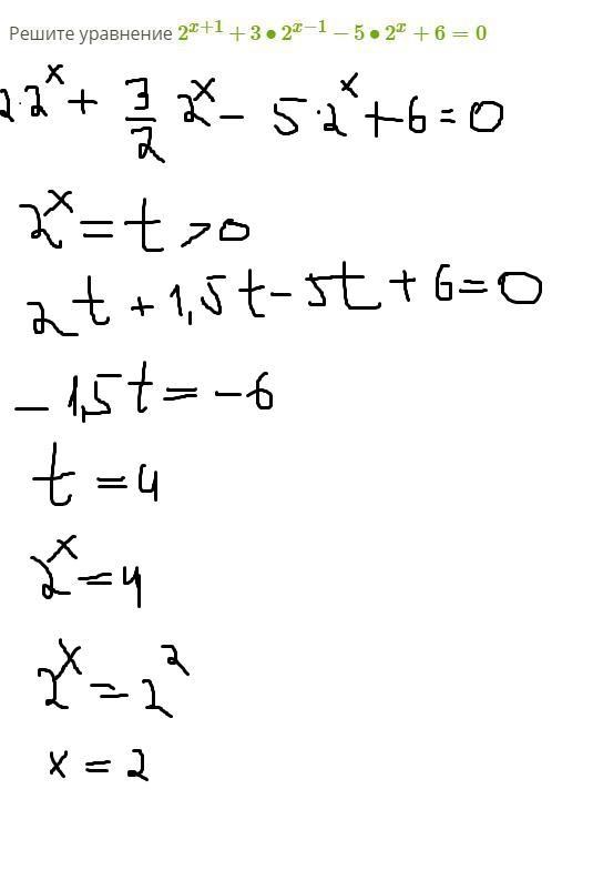
Ответ:

Объяснение:

вот и все

Приложения:
Вас заинтересует