• Предмет: Математика
  • Автор: sabinka2911
  • Вопрос задан 8 лет назад

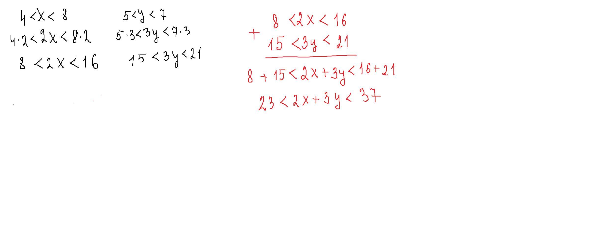
Оцените выражение 2х+3у если 4<х<8 5<у<7

Ответы

Ответ дал: parus77
0

Ответ:

Пошаговое объяснение:

решение внизу

Приложения:
Вас заинтересует