• Предмет: Алгебра
  • Автор: sposibozapokypky1
  • Вопрос задан 8 лет назад

Оооочень простое задание , даю 35 балов !
ЖЕЛАТЕЛЬНО НА ЛИСТИКЕ

Приложения:

Ответы

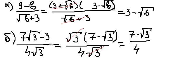
Ответ дал: Mathlover357
0

Надеюсь будет понятно

Приложения:
Ответ дал: sposibozapokypky1
0
Спасибо
Ответ дал: Чуник161
0

Смотри прикрепленную картинку

Приложения:
Вас заинтересует