Ответы
Ответ дал:
0
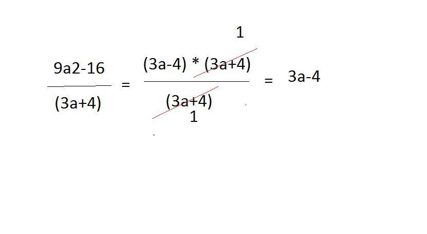
9а2 - 16 / 3а + 4 = (3а-4)(3а+4)/3а+4 = 3а - 4
(3а+4 сокращаем в обеих частях дроби)
Ответ дал:
0
Ответ:
Объяснение:
Решение:
Приложения:

Вас заинтересует
2 года назад
2 года назад
3 года назад
3 года назад
8 лет назад
8 лет назад