Ответы
Ответ дал:
0
сперва рассмотрим числительное:
1.sin(a+b)=sina*cosb+cosa*sinb =>
sin(a+b)-sina*cosb=sina*cosb+cosa*sinb - sina*cosb = cosa*sinb
в числителе остается: cosa*sinb
2. Теперь знаменатель
cos(a+b)=cosa*cosb - sina*sinb =>
cos(a+b)+sina*sinb=cosa*cosb - sina*sinb + sina*sinb= cosa*cosb
в знаменателе остается :cosa*cosb
3. cosa*sinb/cosa*cosb= sinb/cosb=tg b
Ответ: tg b
фотка от нижнего вопроса
1.sin(a+b)=sina*cosb+cosa*sinb =>
sin(a+b)-sina*cosb=sina*cosb+cosa*sinb - sina*cosb = cosa*sinb
в числителе остается: cosa*sinb
2. Теперь знаменатель
cos(a+b)=cosa*cosb - sina*sinb =>
cos(a+b)+sina*sinb=cosa*cosb - sina*sinb + sina*sinb= cosa*cosb
в знаменателе остается :cosa*cosb
3. cosa*sinb/cosa*cosb= sinb/cosb=tg b
Ответ: tg b
фотка от нижнего вопроса
Приложения:

Ответ дал:
0
не за что)
Ответ дал:
0
пиши если что)
Ответ дал:
0
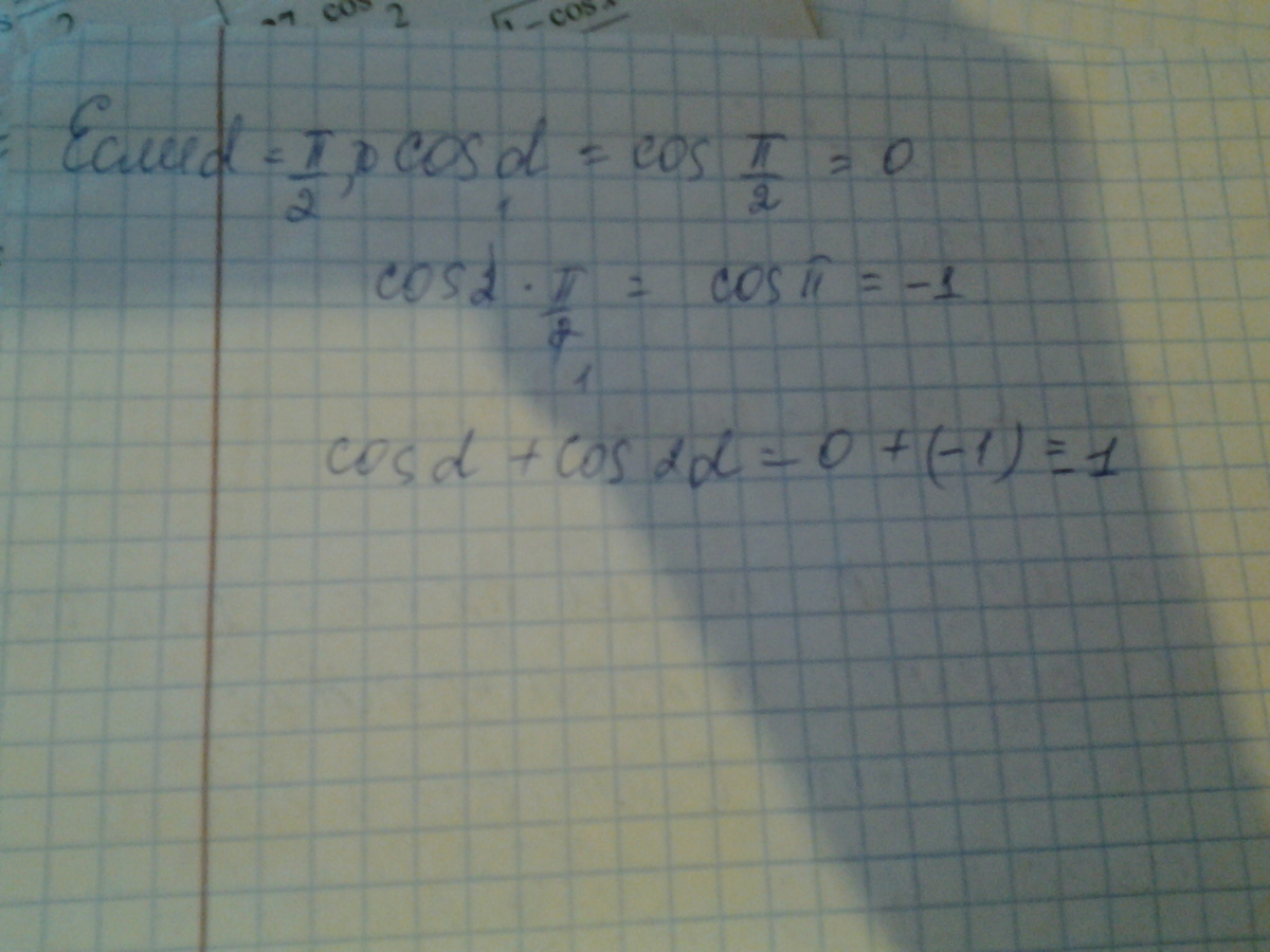
вычислить: cosd+cos2d при d=P/6
Вас заинтересует
2 года назад
2 года назад
8 лет назад
8 лет назад
10 лет назад
10 лет назад
10 лет назад