Ответы
Ответ дал:
0
Ответ:
Пусть а, b, с — длины сторон ВС, АС, АВ треугольника ABC (фото 1).
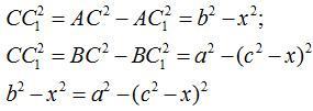
Проведем высоту CC1 и обозначим х длину отрезка АС1. Тогда ВС1=с-х. По теореме Пифагора получаем (фото 2):
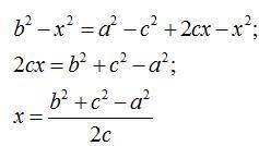
Решим это уравнение и найдем х (фото 3):
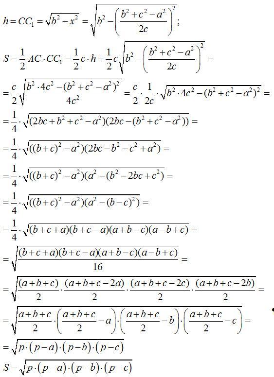
Тогда (фото 4):
Данная формула называется формулой Герона.
Приложения:




Вас заинтересует
2 года назад
2 года назад
3 года назад
3 года назад
8 лет назад
8 лет назад
9 лет назад