• Предмет: Математика
  • Автор: mariemorosMaria
  • Вопрос задан 8 лет назад

Помогите решить уравнение, пожалуйста

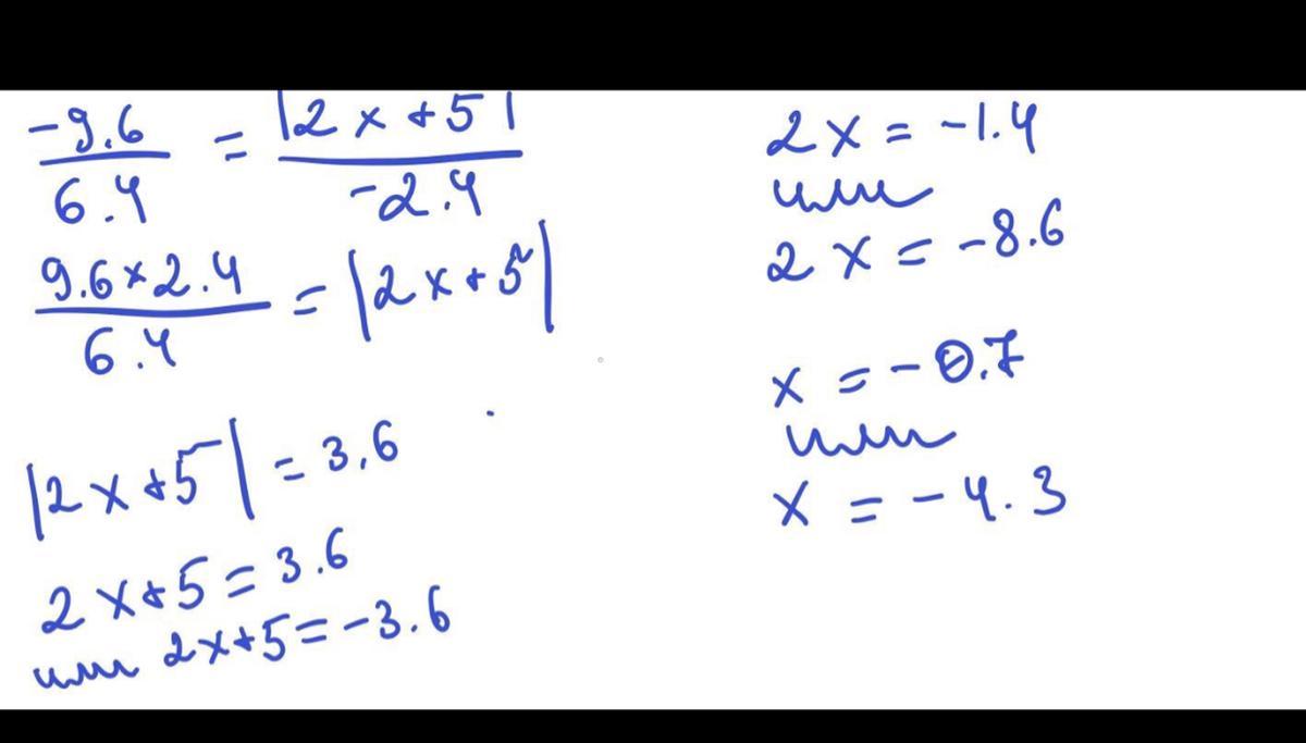
-9,6. [2x+5]

——— = ———-

6,4. -2,4

Приложения:

Ответы

Ответ дал: daryamalonos
0

Ответ:

вот решение, ')))))))))

Приложения:
Ответ дал: beknur2203
0
Ответ
-0,7 или -4,3
Объяснение
Приложения:
Вас заинтересует