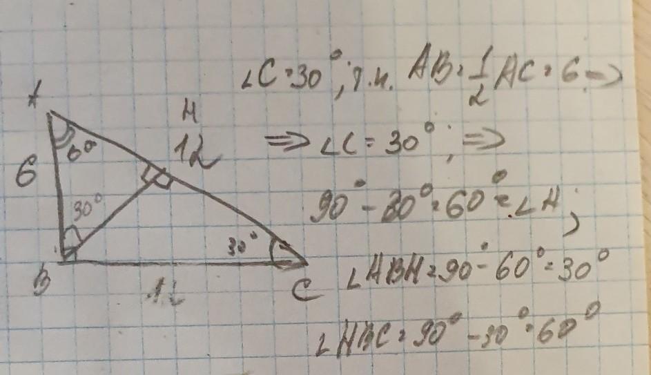
В прямоугольном треугольнике ABC угол B= 90 градусов, AB=6см, AC= 12см. Найдете углы которые образует высота BH с катетами треугольника. Можно точное решение!!!! Дам 50 баллов❤️❤️❤️❤️
Ответы
Ответ дал:
0
Ответ:
ну тут уже все расписано
Приложения:

Вас заинтересует
3 года назад
3 года назад
8 лет назад
8 лет назад
9 лет назад