• Предмет: Математика
  • Автор: kudr732008
  • Вопрос задан 8 лет назад

номер 793 учебник Дорофеев Шарыгин Суворова и т.д помогите кто может

Ответы

Ответ дал: fergiyoh
0

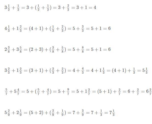
Вот так:

Надеюсь то что надо......................

Приложения:
Ответ дал: kudr732008
0
То,спасибо)
Вас заинтересует