• Предмет: Физика
  • Автор: Denikalanis
  • Вопрос задан 8 лет назад

Физика.

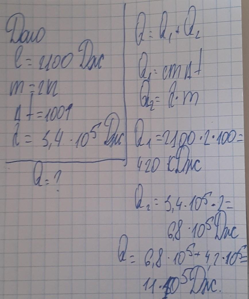
Дано:

C(удельная теплоёмкость льда)=2100 джоуль деленое на кг

m=2кг

t1=0 Градусам

t2=100 Градусам

Лямда=3.4 умножить на 10 в пятой степени джоуля на кг. (Удельная теплота плавления льда).
Найти Q(Удельная теплоёмкость)

Ответы

Ответ дал: mvefteni29
0

Ответ:

101010101001010110100101

Приложения:
Вас заинтересует