• Предмет: Математика
  • Автор: kovdaniil2007
  • Вопрос задан 8 лет назад

памагити тут немножко спасити один пример и все

Приложения:

Ответы

Ответ дал: Margorita01
0

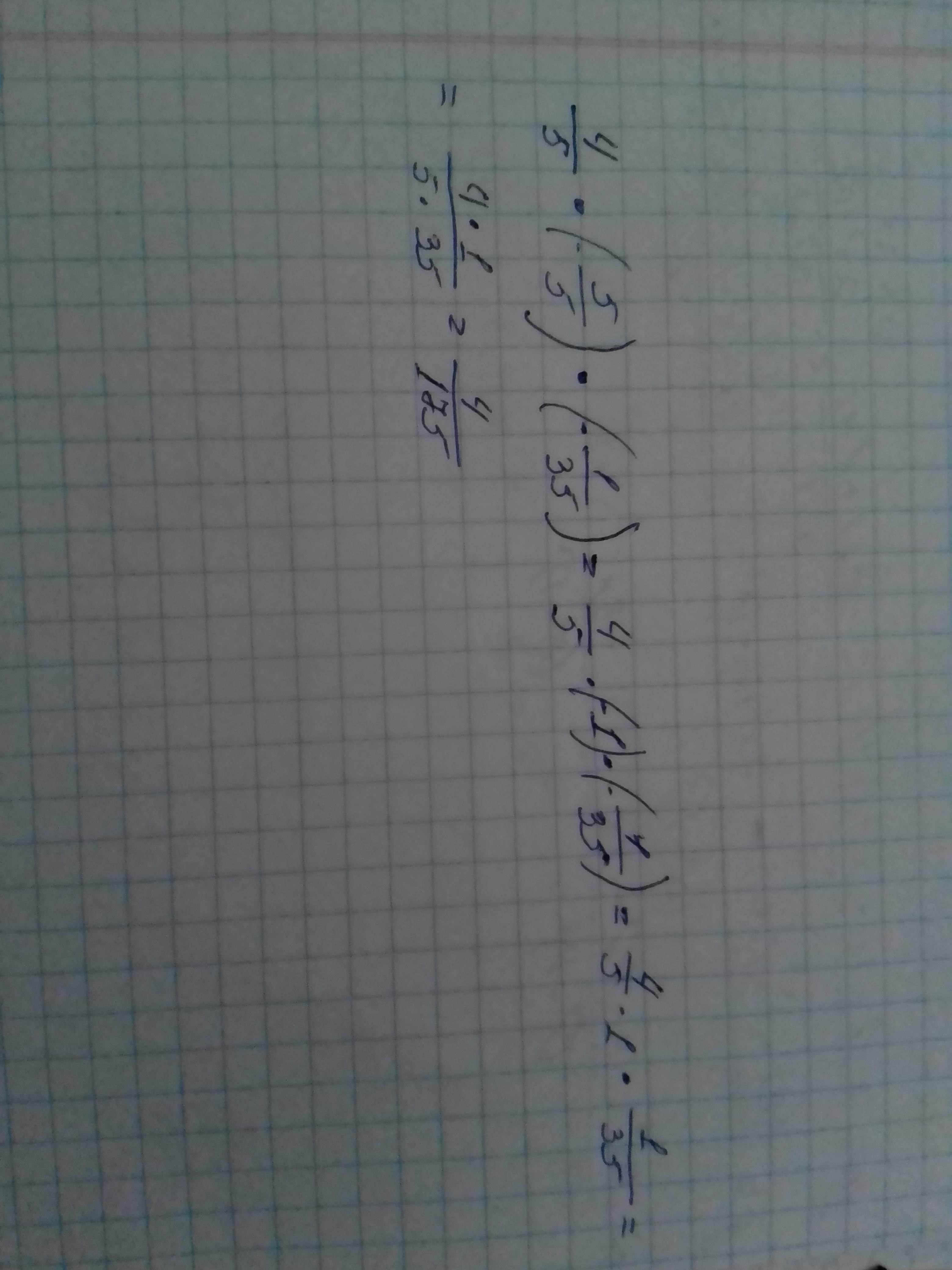
Ответ:

Пошаговое объяснение:

Приложения:
Вас заинтересует