• Предмет: Алгебра
  • Автор: vyacheslavoo2001
  • Вопрос задан 8 лет назад

Ребятаа, срочно помогите :сс
даю 20 баллов. уравнение.

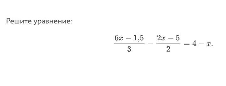
Приложения:

Ответы

Ответ дал: Zombynella
0

Ответ:

Чтобы решить это уравнение, нужно избавиться от дробного вида.

Для этого подобрать общий знаменатель ( =6) и надписать над числителями дополнительные множители, получим:

2(6х - 1,5) -3(2х - 5) = 6(4 - х)

12х - 3 - 6х + 15 = 24 - 6х

12х - 6х + 6х = 24 + 3 - 15

12х = 12

х = 1

Проверка. Если уравнение решено верно, при подстановке х=1 правая и левая части уравнения будут равны.

(6 - 1,5)/3 - (2 - 5)/2 = 1,5 + 1,5 = 3

4 - 1 = 3

3 = 3, всё верно.

Вас заинтересует