• Предмет: Алгебра
  • Автор: russkiyhet
  • Вопрос задан 8 лет назад

Даю 35 баллов за выполнение следующих заданий(их всего 2!), и желательно быстрее!

Приложения:

Ответы

Ответ дал: alex12818
0

Ответ:

Закреп

Объяснение:

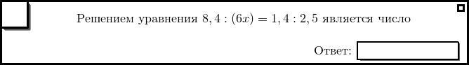
Первое задание

1)8,4*2,5=6x*1,4

2)(8,4*2,5/6*1,4)=2,5

Вас заинтересует