71 балл Матеша, в ответе напиши только ответ, решение не надо. Спасибо если ответишь)
Вот скрины
дам лучший ответ
Приложения:



Ответы
Ответ дал:
0
Ответ:
Пошаговое объяснение:
........................................
Приложения:

Ответ дал:
0
Пошаговое объяснение:
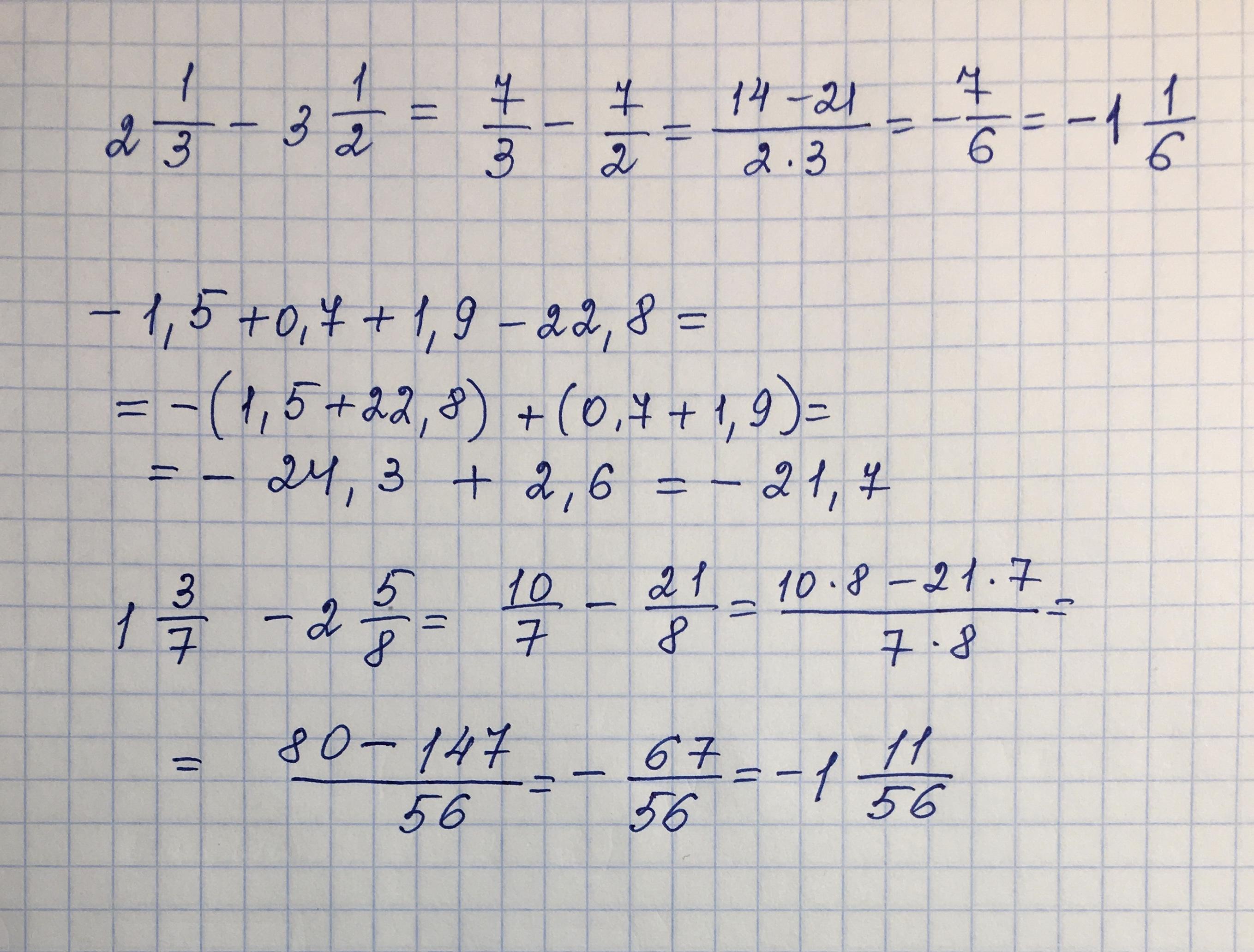
2 1/3-3 1/2=7/3-7/2=-7/6=-1 1/6
-1,5+0,7+1,9-22,8=-21,7
1)-1,5+0,7=-(1,5-0,7)=-0,8
2)-0,8+1,9=+(1,9-0,8)=1,1
3)1,1-22,8=-(22,8-1,1)=-21,7
1 3/7-2 5/8=10/7-21/8=-67/56=-1 11/56
Приложения:

Вас заинтересует
2 года назад
2 года назад
3 года назад
3 года назад
8 лет назад
8 лет назад
9 лет назад