• Предмет: Математика
  • Автор: yanchukliza
  • Вопрос задан 8 лет назад

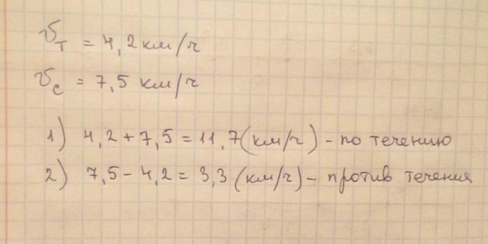
15. Скорость течения реки 4,2 км/ч, а собственная скорость лодки
7,5 км/ч. Определите скорость лодки по течению и против те-
чения.​

Ответы

Ответ дал: ЯгодкаЯлесная
0

Ответ:

фоточка тебе в помощь ;)

Приложения:
Ответ дал: yanchukliza
0
спасибо
Ответ дал: Аноним
0
это вообшето правильно
Ответ дал: 6069
0

Ответ:

1) 7,5-4,2=3,3км/ч - скорость лодки против течения реки

2) 7,5+4,2=11,7 км/ч - скорость лодки по течению реки

Приложения:
Вас заинтересует